Bagmati Samachar Logo

रवि लामिछानेले गोर्खा मिडियाबाट बुझ्थे मासिक ६ लाखभन्दा धेरै रकम, अरुको तलब कति ?

काठमाडौं । राष्ट्रिय स्वतन्त्र पार्टीका सभापति रवि लामिछानेले गोर्खा मिडिया प्रालिको सञ्चालक तथा प्रबन्ध निर्देशक पदमा बहाल रहँदा कम्पनीबाट मासिक ६ लाखभन्दा बढी रकम तलबका रूपमा बुझेको पाइएको छ ।

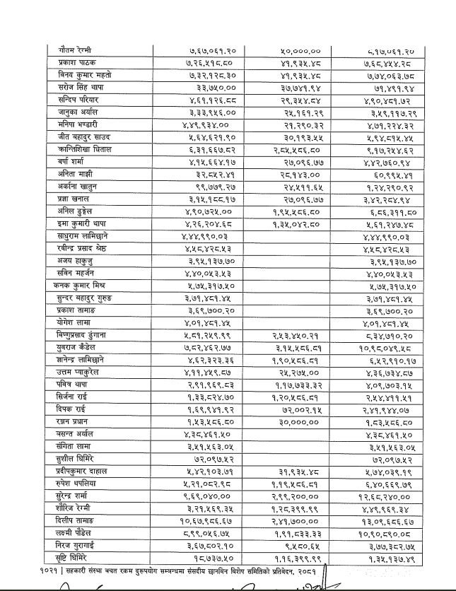
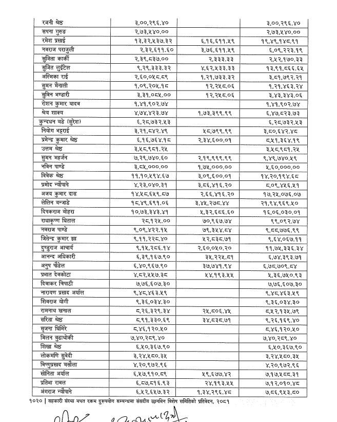
सहकारी संस्था बचत रकम संसदीय छानबिन विशेष समितिको प्रतिवेदनमा उल्लेख भएअनुसार लामिछानेले कम्पनीबाट डेढ वर्षको अवधि १ करोडभन्दा बढी तलब बुझेका छन् ।

उनले दुई आर्थिक वर्षमा गरी कुल १ करोड ४ लाख ३६ हजार रुपैयाँ तलबका रूपमा बुझेको प्रतिवेदनमा उल्लेख छ । लामिछाने १ माघ २०७७ देखि १ असार २०७९ सम्म गोर्खा मिडियामा आबद्ध थिए ।

छानबिन समितिले सहकारीको रकम अपचलन गरी गोर्खा मिडियामा लगानी गरिएको पुष्टि भएको बताएको छ । यसमा लामिछानेसमेत जिम्मेवार रहेको ठहर गर्दै समितिले कारबाहीको सिफारिस गरेको छ ।